Жим штанги, лежа – путь к идеальному телу
Красивая, широкая грудная клетка, плод многих часов проведенных в тренажерном зале. Правильное техничное выполнение упражнений, позволяет развивать эффектную мускулатуру. Не следует забывать, что любые физические нагрузки с использованием спортивного инвентаря, могут быть опасны
Потому, следует проявлять внимание и бдительность и четко прислушиваться к реакции своего тела
Чтиво: Как набрать массу худому парню? Если ты никогда не качался
Классическое упражнение со штангой, выполняется так: спортсмен, лежит на горизонтальной скамье, стопами упираясь в пол. Широким захватом, штанга снимается с креплений и на вытянутых руках максимально поднимается вверх. Далее, следуя правилу упражнения, штангу нужно плавно опустить до уровня легкого касания грудной клетки.

В таком положении, мышцы грудной клетки подстерегает серьезная опасность. При опускании штанги, происходит максимальное растяжении мышц груди. Здесь важную роль играет ширина захвата грифа. Узкий хват, как правило, не дает возможности опустить снаряд слишком низко, а более широкий перекладывает нагрузку на трицепс.
Потому наиболее опасным для выполнения, является хват на ширине плеч, при выполнении такого упражнения, не следует делать максимальную амплитуду движения. Это поможет сохранить грудные мышцы от растяжения или разрыва.
Для эффективной работы упражнения в течение длительного времени и увеличения жима штанги, следует придерживаться некоторых простых правил. В зависимости от возможностей собственного тела, нужно выбрать максимальное число подходов к снаряду, с максимальным количеством повторений. Мышцам обязательно нужен длительный и полноценный отдых, а так же здоровое питание и сон. В этом кроется секрет, способный дать ответ на многие вопросы.
Количество повторов
Многие начинающие спортсмены, часто задаются вопросами, какое количество подходов в жиме лежа наиболее эффективно, а также, как увеличить количество повторений в? Ответ лежит на поверхности. Следует понять для себя, какая цель посещения тренажерного зала. Исходя из классической системы тренировок, жим лежа следует выполнять в 3-5 подходов, по 7-10 повторов.
Чтобы увеличить количество повторений, может оказаться эффективной, тренировка под названием «Пирамида». Суть упражнения, сводится к простому действию. Каждый подход увеличивается вес на 5кг, более опытные спортсмены выполняют порог с большим весом
При этом важно, увеличивая вес при каждом подходе, следует уменьшать число повторений в каждом подходе на 1
Таким образом, в результате выполнения «Пирамиды» в течение нескольких недель, возвращаясь к первичным классическим нагрузкам, можно увеличить число повторений в жиме лежа. Обязательным условием, начала любой тренировки является разминка. Качественный разогрев мышц, поможет достигать более высоких результатов и покорять новые вершины.
Почему не получается найти максимальное число?
МАКС – одна из самых простых в использовании функций Excel. Если вопреки всем ожиданиям она не работает, то, скорее всего, это одна из следующих проблем:
МАКС возвращает ноль
Если обычная формула МАКС возвращает 0, даже если в указанном диапазоне есть числа явно большие, скорее всего, эти числа отформатированы как текст.
Это особенно актуально, когда вы запускаете функцию МАКС для данных, получаемых другими формулами или же импортированных из других программ.
Вы можете проверить это с помощью функции ЕЧИСЛО, например:
Если приведенная выше формула возвращает ЛОЖЬ, то значение в A1 не является числовым. Это означает, что вы должны устранять неполадки с исходными данными, а не с формулой.
МАКС возвращает значение #Н/Д, #ЗНАЧ или другую ошибку.
Пожалуйста, внимательно проверьте указанные ячейки. Если какая-либо из указанных ячеек содержит ошибку, поиск максимума приведет к той же ошибке. Чтобы обойти это, посмотрите, .
Вот как можно определить максимальное значение в Excel. Благодарю вас за чтение!
В чем преимущества расчета математического ожидания?
Достаточно применить предложенную формулу, чтобы понять, сможет такое событие, а также аналогичные ему стать для Вас источником стабильного дохода. Результаты в мире спорта предугадать весьма сложно, но наука – вещь упрямая, против математического вычисления крайне сложно пойти.
Практика доказывает, что проведенные вычисления позволяют чувствовать себя уверенно. Вначале результаты могут складываться не лучшим образом, но со временем все должно уладиться. Даже профессиональные игроки отказываются от просчета математического ожидания, поскольку делают прогнозы достаточно хаотично. В логике их действий крайне сложно найти последовательность, что приводит к проигрышам.
Правильное распределение средств и поиск событий с выгодными коэффициентами – это задачи, которые на сегодняшний день под силу выполнить даже начинающим игрокам. Благодаря расчету математического ожидания также удастся выяснить, какие букмекерские конторы предлагают своим игрокам действительно выгодные коэффициенты, а кто из них явно не способен в полной мере удовлетворить требования аудитории. Такая информация крайне важна, ведь от уровня маржи и показателя котировок напрямую зависит сумма дохода каждого пользователя.
Вопреки распространенному мнению, вычисление показателя занимает лишь считанные секунды. Да, в лайве его просчитать достаточно сложно, ведь там коэффициенты меняются слишком быстро, хотя, если мы говорим о том же футболе, то это не выглядит невозможным. Правильный анализ математического ожидания – это:
- гарантированная прибыль от ставок на спорт;
- возможность давать выигрышные прогнозы даже на длинную дистанцию;
- улучшенное понимание аналитики игры.
Сейчас такой формат ставок на спорт становится все более популярным, ведь игроки хотят застраховать свои активы и минимизировать вероятность неудач. Стоит отметить, что математическое ожидание не исключает их вовсе, а спортивные противостояния – вещь в целом достаточно непредсказуемая. Прибыль же удастся получить за счет более частых выигрышей или ставок на события с высокими коэффициентами, которые, пусть и далеко не всегда являются успешными, зато за счет коэффициентов принесут доход.
Таким образом, преимущества расчета математического ожидания совершенно очевидны. Теперь спортивные прогнозы на длинной дистанции перестанут быть для Вас хаотичными и обретут системность, а небольшая неудача не станет вызовом для бюджета. Именно поэтому научно доказанная теория нашла столь активное применение в контексте ставок на спорт, в чем уже успели убедиться тысячи игроков, испробовавших ее для вычисления долгосрочных результатов.
Работа в сверхурочное время в 1С:ЗУП 3.1
Согласно ст. 152 Трудового кодекса об оплате сверхурочных часов работы предусмотрено (по желанию работника) предоставление дополнительного времени отдыха (но не преувеличивающего время, отработанного сверхурочно) вместо повышенной оплаты труда. В программе 1С:ЗУП 3.1 есть функционал для предоставления отгулов, однако в рамках данной статьи мы рассматриваем только оплату сотрудникам. Поэтому примем как данность, что сотрудник принял решение отказаться от дополнительного отгула в пользу повышенной оплаты. За первые два часа оплата производится не менее чем в 1,5 размере, а за последующие часы не менее чем в двойном размере. Программа производит автоматический расчет часовой тарифной ставки для расчета сверхурочных часов.
Как найти в Excel максимальное число – примеры.
Ниже мы покажем несколько стандартных вариантов использования функции МАКС.
Во многих случаях существует несколько различных решений для одной и той же задачи, поэтому я рекомендую вам протестировать все варианты, чтобы выбрать наиболее подходящий.
Как найти максимальное значение в группе чисел.
Чтобы извлечь наибольшее число в группе чисел, передайте эту группу функции МАКС в качестве ссылки на диапазон. Диапазон может содержать любое количество строк и столбцов. Например, чтобы получить максимальное значение из C2: E7, используйте эту простую формулу:
Предположим, у нас есть сведения об учениках с их оценкой, но некоторые из значений оценки являются логическими, текстовыми, а некоторые пока вовсе не имеют оценки.
Применим функцию:
Как видите, игнорируются ячейки с текстом, а также пустые, логические значения приравниваются к нулю, а затем вычисляется максимальная оценка, как показано в таблице выше.
Найдите наибольшее значение в несмежных ячейках или диапазонах
Чтобы осуществить поиск в несмежных ячейках и диапазонах, необходимо включить в формулу ссылку на каждый отдельный адрес. Рассмотрим пошагово:
- Начните вводить функцию МАКС в ячейку.
- После того, как вы ввели открывающую скобку, нажмите и удерживайте Ctrl и выберите мышкой нужные ячейки и диапазоны.
- Отпустите Ctrl и введите закрывающую круглую скобку.
- Нажмите Enter.
Вы получите выражение, подобное этому:
Максимальное и минимальное
Вот как найти максимальное значение в Excel:
- Поставьте курсор-ячейку в любое место.
- Перейдите в меню «Формулы».
- Нажмите «Вставить функцию».
- В списке выберите «МАКС». Или напишите это слово в поле «Поиск» и нажмите «Найти».
- В окне «Аргументы» введите адреса диапазона, максимальное значение которого вам нужно узнать. В Excel имена клеток состоят из буквы и цифры («B1», «F15», «W34»). А название диапазона — это первая и последняя ячейки, которые в него входят.
- Вместо адреса можно написать несколько чисел. Тогда система покажет самое большее из них.
- Нажмите «OK». В клетке, в которой стоял курсор, появится результат.
Следующий шаг — укажите диапазон значений
Теперь будет легче разобраться, как найти минимальное значение в Excel. Алгоритм действий полностью идентичен. Просто вместо «МАКС» выберите «МИН».
Суточная потребность в калориях
Коэффициент BMR это еще не полная суточная энергетическая потребность. Большое влияние на этот показатель оказывает физическая активность человека. Ее условно разделили на пять степеней, каждому из которых соответствует коэффициент от 1,2 до 1,9. Чтобы определить общую суточную потребность в калориях, умножьте свой BMR на соответствующий коэффициент активности следующим образом:
- Малоактивный образ жизни (мало или совсем нет занятий спортом): BMR x 1,2.
- Легкая активность (несложные упражнения / спорт 1–3 дня в неделю): BMR x 1,375.
- Умеренная активность (умеренные упражнения / спорт 3-5 раз в неделю): BMR x 1,55.
- Активный (тяжелые упражнения / спорт 6-7 почти ежедневно): BMR x 1,725.
- Повышенная активность (очень тяжелые упражнения / спорт и физическая работа): BMR x 1,9
Это помогает более точно определить, сколько энергии нужно вашему телу. С этими сложными вычислениями за секунды справится наш Калькулятор расчета базового обмена веществ.
Если вы беспокоитесь о своем здоровье и желаете поддерживать себя в хорошей форме, формулы Харриса-Бенедикта, Миффлина-Джеора или Тома Венуто станут для вас хорошим помощником. В конце концов, зная свой основной метаболизм, вы можете решить, сколько калорий и какую еду вы можете себе позволить.
Когда у вас оптимальный вес и вы не расходуете много энергии, то можете использовать свой основной BMR. Если ваша цель похудение — создайте дефицит нормы калорий, и ваш организм начнет восполнять их из внутренних резервов.Если надо набрать вес — увеличьте калорийность.
Таким образом, знание о базовой потребности в калориях поможет поддерживать оптимальный баланс. Как это сделать вы узнаете из видео.
Читайте далее:
Калькулятор индекса массы тела, формула расчета ИМТ, преимущества и недостатки BMI
Семена овощей, точный калькулятор расчета количества семян
Онлайн калькулятор расчета времени зарядки АКБ (постоянным током), сколько заряжать аккумулятор
Расход затирки для плитки на 1 м<sup>2</sup> — калькулятор, формула расчета
Как сделать расчет рулонов обоев, точный калькулятор расчета
Расчет гипсокартона для стен: калькулятор, формулы
Зачем выполнять жим лёжа
Жим лёжа — одно из базовых упражнений на мышцы верхней части тела. Вне зависимости от пола вам обязательно стоит включить его в силовые тренировки, потому что оно:
- Помогает накачать грудные мышцы. Жим лёжа нагружает их лучше, чем все остальные упражнения, включая сведения и жимы на тренажёрах, разводку с гантелями и отжимания на брусьях.
- Прокачивает руки. Жим лёжа также отлично прорабатывает трицепсы — мышцы на задней стороне плеча — и передние дельты, покрывающие плечевой сустав спереди.
- Задействует много других мышц. Помимо основных, в работу также включаются средние дельты, широчайшие мышцы спины и бицепсы. Жим лёжа укрепит весь верх тела и научит мышцы двигаться скоординированно.
- Укрепляет кости. Как и другие силовые упражнения, жим лёжа способствует укреплению костей и даже применяется для леченияостеопороза.
- Не требует долгого освоения. Для выполнения жима лёжа не нужно особой гибкости или чувства баланса. Упражнение простое и функциональное, так что любой новичок сможет сделать его правильно, если запомнит основные моменты техники.
- Имеет разные вариации. Меняя наклон скамьи и ширину хвата, вы можете сместить фокус на определённые группы мышц и гармонично прокачать грудь и руки.
Другие способы
Максимальное, минимальное и среднее можно узнать и другими способами.
- Найдите панель функций с обозначением «Fx». Она над основной рабочей областью таблицы.
- Поставьте курсор в любую ячейку.
- Введите в поле «Fx» аргумент. Он начинается со знака равенства. Потом идёт формула и адрес диапазона/клетки.
- Должно получиться что-то вроде «=МАКС(B8:B11)» (максимальное), «=МИН(F7:V11)» (минимальное), «=СРЗНАЧ(D14:W15)» (среднее).
- Кликните на «галочку» рядом с полем функций. Или просто нажмите Enter. В выделенной ячейке появится нужное значение.
- Формулу можно скопировать непосредственно в саму клетку. Эффект будет тот же.
Впишите диапазон и нажмите Enter
Найти и вычислить поможет Excel-инструмент «Автофункции».
- Поставьте курсор в ячейку.
- Перейдите в раздел «Формулы».
- Найдите кнопку, название которой начинается на «Авто». Это зависит от выбранной в Excel опции по умолчанию («Автосумма», «Авточисло», «Автосмещ», «Автоиндекс»).
- Нажмите на чёрную стрелочку под ней.
- Выберите «МИН» (минимальное значение), «МАКС» (максимальное) или «СРЗНАЧ» (среднее).
- В отмеченной клетке появится формула. Кликните на любую другую ячейку — она будет добавлена в функцию. «Растяните» рамку вокруг неё, чтобы охватить диапазон. Или щёлкайте по сетке с зажатой клавишей Ctrl, чтобы выделять по одному элементу.
- Когда закончите, нажмите Enter. Результат отобразится в клетке.
В Excel вычислить среднее значение достаточно легко. Не нужно складывать, а потом делить сумму. Для этого существует отдельная функция. Также можно найти минимум и максимум в множестве. Это намного легче, чем считать вручную или выискивать цифры в огромной таблице. Поэтому Эксель популярен во многих сферах деятельности, где требуется точность: бизнес, аудит, кадровое делопроизводство, финансы, торговля, математика, физика, астрономия, экономика, наука.
Как узнать максимальный рабочий вес в упражнении
Как мы уже выяснили, расчет максимального рабочего веса в изолирующих упражнениях, не имеет большого смысла (особенно, когда речь идет о тренировках новичков
), поэтому вы должны сконцентрировать все свои усилия на расчет в базовых упражнениях (это, прежде всего , и жим штанги лежа)
1 способ
Для расчета максимума в упражнении, можно воспользоваться универсальной формулой
: выполнить с правильной техникой упражнение в 5 подходах по 6 повторений и умножить рабочий вес на коэффициент 1.2, полученная цифра будет вашим максимальным весом.
Предположим, вы в тренажерном зале, выполнили становую тягу с весом 120
кг все 6 повторения в 5 подходах, так что в 6 подходе, если бы вы выполняли, вы бы не смогли его сделать на все 6 повторения (на 5 или 4), итого получаем свой максимум в тяге: 120*1.2= 145 кг примерно.
2 способ
Быть может, кому-то не нравится такой грубый расчет, тогда в этом случае, вам необходимо тщательно размяться, выполнить полноценную разминку, и путем эксперимента
, с прибавлением веса на штанги с шагом 5-10 кг, поднимать веса, пока не достигните своего максимума.
Корректировка веса на штанге при расчете поднятого веса на раз с шагом в 5-10 кг
, больше относится к изолирующим упражнениям, и базовых, когда вы подходите к своему пределу (субмаксимальных
весов). Обычно, атлеты начинают использовать шаг 20-30 кг
, как при разминочных подходах, так и при вычислении своего максимума.

Например, рассчитаем
рабочий вес в базовом упражнении для ног – приседание со штангой на плечах:
Нам известно, что спортсмен, предполагает, что может присесть со штангой на раз около 110-120 кг
, необходимо вычислить, сколько реально он сможет присесть, если обычная тренировка ног, средней интенсивности выглядит так:
4 подхода по 8 повторений, с весом 90 кг.
Для того, чтобы определить, с каким весом атлет сможет, осиль штангу, необходимо сперва тщательно размяться
, используя пустой гриф, легкие веса и для мышц (по желанию).
- 1 подход на 15 повторений с пустым грифом
- 1 подход на 12 повторений с 40 кг
- 1 подход на 8 повторений с 60 кг
- 1 подход на 4 повторения с 80 кг
- 1 подход на 2 повторения с 100 кг
- 1 подход на 1 повторение с 110 кг
- 1 подход на 1 повторение с 115 кг
- 1 подход на 1 повторение с 117,5 — 120 кг (hardcore)
Таким образом, полученную цифру, можно использовать во всех программах тренировок, где упоминаются проценты от максимального рабочего веса в конкретном упражнении.
3 способ
Использовать различные онлайн калькуляторы
, или приложения из play marketa, в которых зачастую используются формулы
Бжицки, Эйпли, Лэндера, Ломбарди, Мэйхью, О’Коннора, Ватана. Однако, точность этих программ оставляет желать лучшего.
Самый проверенный способ вычисления максимума, этот тот способ, который осуществляется практически
, путем реального ощущения поднятого веса, то есть способ №2.
Как рассчитывается одноповторный максимум (1ПМ)
Чаще всего используются основные формулы Бжицки, Эйпли, Лэндера и Ломбарди (эти расчеты задействованы в калькуляторе выше). Для того, чтобы их использовать, необходимо сделать максимальное количество повторений с определенной тяжестью снаряда. Например, пожать 100 кг 5 раз до мышечного отказа. Либо посмотреть в тренировочном дневнике наилучшее количество повторений за последние несколько недель и ввести их в калькулятор. Есть несколько проблем с этим методом:
- На тренировке вы выполняете одно упражнение за другим, и поэтому становитесь слабее во втором и третьем подходе.
- Постоянные тренинги приводят к накоплению остаточной усталости, поэтому не можете показать свои истинные предельные возможности.
- Завершение подхода перед самым наступлением мышечного отказа означает, что вы не выжимаете предел возможностей.

- выберите упражнение, которое вас интересует и передвиньте его на начало тренировки;
- тщательно разомнитесь. После этого отдохните 3-4 минуты;
- установите вес на штанге, который (как вам кажется) можете поднять 3-6 повторений;
- сделайте повторений столько, сколько сможете, пока не начнет «ломаться» техника или не достигнете мышечного отказа;
- если результат будет в районе 3-6 повторений, на этом все. Если получилось 7 и больше, добавьте 2-5 кг на штангу, отдохните, как минимум 5 минут, и выполните еще один подход. Возможно к этому моменту вы уже немного устанете, но у вас еще будет достаточно энергии, чтобы получить более точный результат;
- закончите тренировку как обычно;
- для проведения одноповторных разовых предельных подходов необходим отдельный день на каждое упражнение.
Тестировать одноповторный (разовый) максимальный вес (1ПМ) желательно один раз в 4-6 месяцев. Это достаточно часто, чтобы внести коррективы в программу тренировок и не слишком часто, чтоб помешать тренировочному процессу.
Успехов!
Расчет оценок максимального правдоподобия
Теперь, когда у нас есть интуитивное понимание того, что такое оценивание максимального правдоподобия, мы можем перейти к вычислению значений параметров. Найденные нами значения будут называться оценками максимального правдоподобия (MLE).
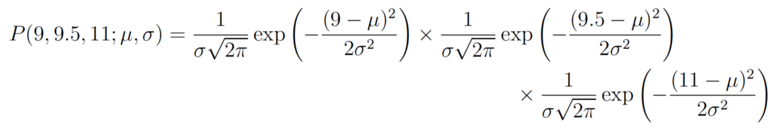
Возьмем другой пример. Предположим, что на этот раз у нас есть три точки данных, и мы допускаем, что они были получены в результате процесса, который адекватно описывается распределением Гаусса. Эти точки имеют значения 9, 9,5 и 11. Как нам вычислить оценки максимального правдоподобия для значений параметров распределения Гаусса μ и σ?
Мы хотим вычислить общую вероятность наблюдения всех данных, то есть совместное распределение вероятностей всех наблюдаемых точек данных. Для этого нам потребуется вычислить некоторые условные вероятности, что может оказаться очень сложным. Поэтому здесь мы сделаем наше первое предположение. Оно заключается в том, что каждая точка данных генерируется независимо от других. Такое предположение значительно упрощает математические вычисления. Если события (т.е. процесс, генерирующий данные) независимы, то общая вероятность наблюдения всех данных равна произведению вероятностей наблюдения каждой точки данных по отдельности (т.е. произведению безусловных вероятностей).
Плотность вероятности наблюдения одной точки данных x, которая генерируется из распределения Гаусса, задается следующей формулой:

Точка с запятой в выражении P(x; μ, σ) используется для указания того, что символы, которые идут после него, являются параметрами распределения вероятности. Поэтому его не следует путать с выражением условной вероятности, которая обычно обозначается вертикальной линией, например, P(A| B).
В нашем примере общая (совместная) плотность вероятности наблюдения трех точек данных задается в виде следующего уравнения:

Нам остается только выяснить значения μ и σ, которые дают максимальное значение приведенного выше выражения.
Если вы проходили исчисления на уроках математики, то наверняка знаете, что существует метод, который помогает находить максимумы и минимумы функций. Он называется “дифференцирование”. Все, что нам нужно сделать, — это найти производную функции, приравнять ее к нулю, а затем перестроить уравнение так, чтобы интересующий нас параметр стал искомой величиной уравнения. И вуаля, мы получим значения MLE для наших параметров!
Среднее
Среднее арифметическое вычисляется так: сложить все цифры из множества и поделить на их количество. В Экселе можно посчитать суммы, узнать, сколько ячеек в строке и так далее. Но это слишком сложно и долго. Придётся использовать много разных функций. Держать в голове информацию. Или даже что-то записывать на листочек. Но можно упростить алгоритм.
Вот как найти среднее значение в Excel:
- Поставьте ячейку курсор в любое свободное место таблицы.
- Перейдите на вкладку «Формулы».
- Нажмите на «Вставить функцию».
- Выберите «СРЗНАЧ».
- Если этого пункта нет в списке, откройте его с помощью опции «Найти».
- В области «Число1» введите адрес диапазона. Или напишите несколько цифр в разных полях «Число2», «Число3».
- Нажмите «OK». В ячейке появится нужное значение.
Нажмите ОК для подсчета
Так можно проводить расчёты не только с позициями в таблице, но и с произвольными множествами. Excel, по сути, играет роль продвинутого калькулятора.
Зачем нужно знать свой одноповторный максимум
Знать свой 1пм для спортсмена важно, так как чаще всего для той или иной схемы тренировок нужно работать с весом определенного диапазона в процентах. Например, в работе на выносливость используют 30-40% от максимального веса, при наборе массы – используют 70-80% от максимума, а при похудении могут работать с весом 20-30% от максимального
Так что в бодибилдинге это значение тоже присутствует и оно актуально для большинства спортсменов.
Также 1 повторный максимум используют в соревнованиях по пауэрлифтингу и тяжелой атлетике. Побеждают в этих видах спорта те, кто поднимают больший вес за 1 повторный максимум. Также 1пм используется в тренировках, направленных на развитие силы. Именно схема с минимальным количеством повторений и большим весом, в частности с взятием максимального веса за одно повторение, используется в тренировках спортсменов пауэрлифтинга. 1 пм рассчитывают для выполнения в таких упражнениях, как жим штанги лежа, становая тяга и в приседе со штангой.
Для роста мышц
Для детальной проработки грудных мышц нужно жать штангу так, чтобы она опускалась на верхнюю часть груди. При такой технике мышцы максимально растягиваются и при сокращении получают необходимый объем нагрузки.

Техника выполнения упражнения детально описана в статье «жим лежа», поэтому здесь мы на ней останавливаться не будем. При работе на массу упражнение стоит выполнять в 3–4 подхода по 6–8 раз. Вес выбирайте так, чтобы последний повтор давался с большим трудом. Если почувствовали, что за восьмым, способны выполнить еще один повтор, увеличивайте нагрузку так, чтобы снова вернуться к шести повторам.
Жать на раз таким образом нет смысла – это не лифтерская техника.
Работайте по ощущениям – можете больше – вешайте еще пару кг, но не увеличивайте вес за счет нарушения техники!
Максимум для тренировок и максимум для соревнований
Зациорский выделяет два максимума: тренировочный максимум (T max) и соревновательный максимум (С max).
T max — это максимальный вес, который может поднять тяжелоатлет, не возлагая чрезмерную нагрузку на организм и не возбуждая ЦНС, т.е. психологически не настраиваясь на выполнение повторения.
C max — это максимум, который достигается с помощью значительной концентрации и психологического подъема, а стресс для организма приводит к существенному выбросу адреналина в кровь.
C max может превышать T max на 12% у опытных спортсменов, которые привыкли к серьезным стрессам, а у большинства людей с помощью концентрации и выброса адреналина показатели можно увеличить на 5%.
Как видите, психический настрой может дать вам неплохую «прибавку в весе». Однако ничто не дается даром, так как выброс адреналина приводит к серьезным последствиям для организма. Необходимо по возможности избегать перевозбуждения нервной системы перед подходом, сохраняя резервы для крайних случаев. 2 максимальных повторения не накладывают на организм такую серьезную психологическую нагрузку, как одно максимальное повторение. Поэтому негативного эффекта можно избежать, получив максимальную отдачу от тренировки.




































